药物中间体

当前位置:首页   产品中心   医药中间体   药物中间体

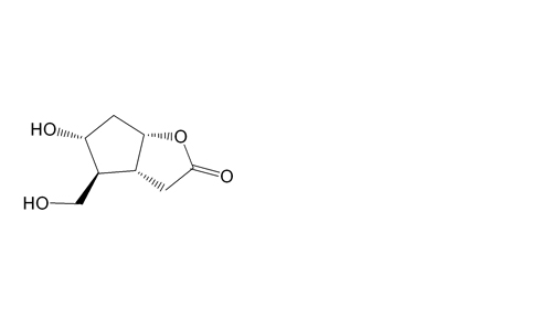
(3aR,4S,5R,6aS)-六氢-5-羟基-4-(羟基甲基)-2H-环戊并[b]呋喃-2-酮((-)-科立内酯二醇)

中文名称 (3aR,4S,5R,6aS)-六氢-5-羟基-4-(羟基甲基)-2H-环戊并[b]呋喃-2-酮((-)-科立内酯二醇)
英文名称 (3aR,4S,5R,6aS)-5-hydroxy-4-(hydroxymethyl)-3,3a,4,5,6,6a-hexahydrocyclopenta[b]furan-2-one
英文别名 (3aR,4S,5R,6aS)-5-hydroxy-4-(hydroxymethyl)hexahydro-2H-cyclopenta[b]furan-2-one
分子结构图
CAS号 32233-40-2
分子式 C8H12O4
分量式 172.18